Desenvolvimento dos Micronegócios e a Qualidade de Vida das Famílias dos Microempreendores
Palavras-chave:
Microcrédito. Micronegócios. Microempreendedores. Qualidade de vida. Equações estruturais.Resumo
Objetivo: Verificar a influência do microcrédito no desenvolvimento dos micronegócios e na qualidade de vida das famílias dos microempreendedores, a partir da elaboração de um modelo de equações estruturais pautado na percepção dos próprios mutuários.
Originalidade/Lacuna/Relevância/Implicações: Nos últimos 15 anos, apenas 9,3% dos estudos analisados (nacionais e internacionais) contemplavam o tema qualidade de vida pós-acesso ao microcrédito. No Programa Nacional de Microcrédito Produtivo, a qualidade de vida não é mencionada em seus objetivos gerais, apresentando-se lacunas a serem investigadas.
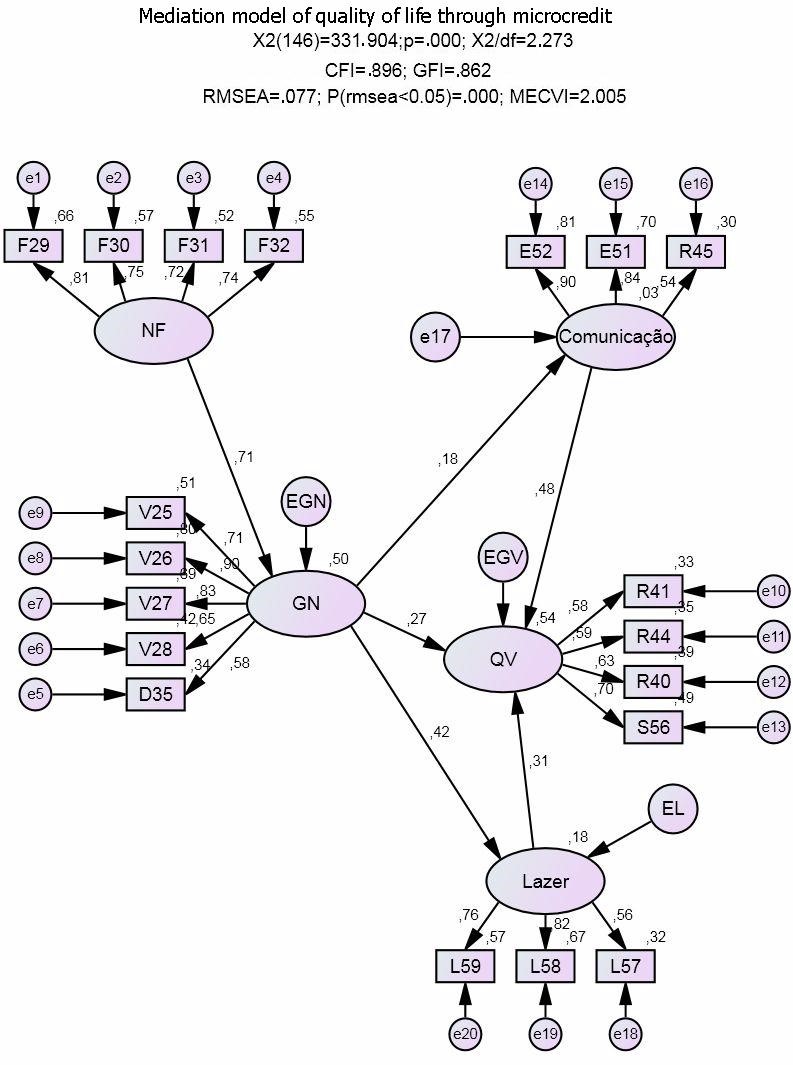
Principais aspectos metodológicos: Desenvolveu-se uma pesquisa quantitativa, com amostra probabilística constituída por 250 microempreendedores mutuários do microcrédito. Com auxílio dos softwares SPSS e AMOS, aplicaram-se técnicas estatísticas descritivas e análises de modelos de equações estruturais.
Síntese dos principais resultados: Observou-se que gestão do negócio exerce influência positiva no acesso aos meios de comunicação, no lazer e na qualidade de vida. O acesso aos meios de comunicação e às atividades de lazer exerce influência positiva na qualidade de vida. As variáveis utilizadas, quando associadas de forma antecessora, explicam 54,0% das transformações na qualidade de vida das famílias beneficiadas.
Principais considerações/conclusões: Os resultados permitem concluir pela preferência do programa analisado em beneficiar mulheres e em fomentar sua atividade econômica. Verificou-se ausência de aval solidário e a necessidade de avalista para a concessão de empréstimo. Os empreendedores, em sua maioria, trabalhavam na informalidade, apesar dos incentivos governamentais. Confirmou-se a melhoria nos empreendimentos e na qualidade de vida das famílias, após o fomento de microcréditos, pela aquisição de bens de consumo, educação, saúde e lazer.
Downloads
Downloads
Arquivos adicionais
Publicado
Edição
Seção
Licença
Após a aprovação do artigo, os autores cedem seus direitos autorais à RAM. As condições da Sessão de Direitos Autorais incluem:
1. A Revista de Administração do Mackenzie (RAM) mantém, com a cessão dos direitos autorais, a posse dos direitos sobre os artigos por ela publicados.
2. O autor retém seus direitos morais no artigo, incluindo o direito de ser identificado como autor sempre que o artigo for publicado.
3. A partir de 01 de julho de 2015 a RAM adotou o padrão de licença CC-BY (Creative Commons– BY). É permitido ao autor copiar, distribuir, exibir, transmitir e adaptar o artigo. O autor deve atribuir de forma explícita e clara a publicação original do artigo à RAM (referenciando o nome da revista, a edição, o ano e as páginas nas quais o artigo foi publicado originalmente), mas sem sugerir que a RAM endossa o autor ou sua utilização do artigo. Por meio da licença CC-BY os conteúdos estão liberados para interoperar plenamente com os mais diferentes sistemas e serviços, incluindo fins comerciais. No caso de quaisquer reutilizações ou distribuições do artigo, o autor deve deixar claro para terceiros os termos do licenciamento do artigo. O Critério CC-BY segue as políticas de acesso aberto dos principais publicadores e periódicos de AA (Acesso Aberto) como são o PLoS, eLife, Biomed Central, Hindawi, entre outros.
4. A RAM poderá, mediante solicitação formal do autor, autorizá-lo a publicar o artigo na forma de capítulo ou parte de livro. A única exigência é que a publicação anterior na RAM (nome da revista, edição, ano e páginas) deve ser referenciada de forma explícita e clara.