Influência da terapia neuromotora intensiva no controle de cabeça de uma criança com paralisia cerebral do tipo quadriplegia espástica

Autores/as

  • Jheniffer Freitas Fisioterapeuta do Centro de Pesquisa Vitória, Especialista em neurofuncional (IBRATE), Curitiba-PR, Brasil.
  • Tainá Ribas Mélo Fisioterapeuta, Doutora em Atividade Física e Saúde (UFPR), Docente da Universidade Campos Andrade (UNIANDRADE) e do Instituto Brasileiro de Therapias e Ensino (IBRATE), Curitiba-PR, Brasil.
  • Alexandre Aguiar Sabbag Especialista em Fisioterapia Neuromotora Intensiva.
  • Ana Cláudia Martins Szczypior Costin Fisioterapeuta, Docente da Universidade Campos Andrade, Curitiba-PR, Brasil.
  • Eduardo Borba Neves Fisioterapeuta, Doutor. Professor do Programa de Pós-graduação em Engenharia Biomédica da Universidade Tecnológica Federal do Paraná (UTFPR), Curitiba-PR, Brasil

Resumen

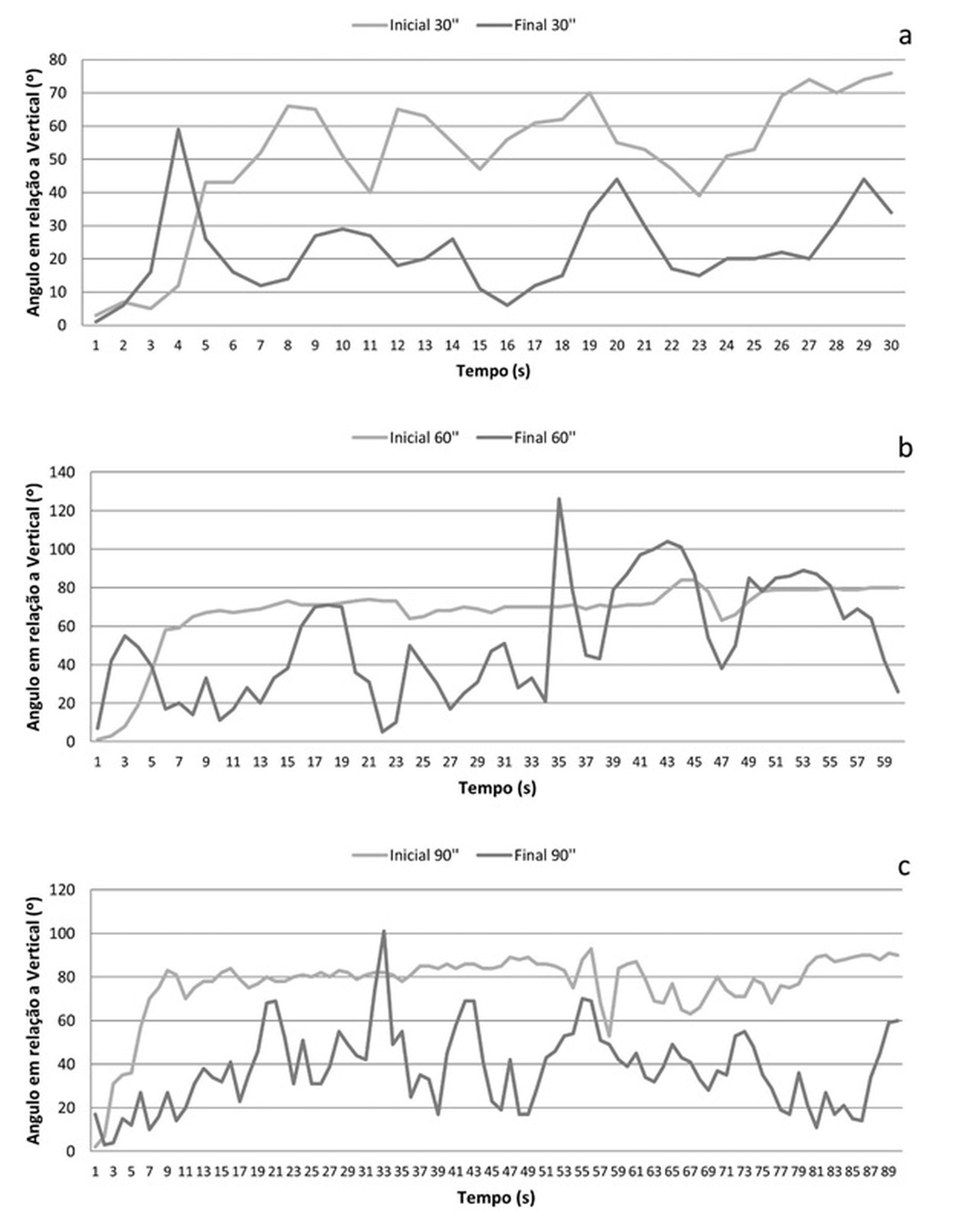
A paralisia cerebral ocasiona distúrbios da postura e do movimento, e em pacientes quadriplégicos acomete os quatro membros, tronco e cabeça. A Terapia Neuromotora Intensiva (TMNI) surge como possibilidade de intervenção fisioterapêutica. Assim o presente estudo objetivou investigar a influência da TNMI sobre o controle de cabeça de uma criança com quadriplegia espástica. A paciente foi submetida à TNMI e avaliada através da escala GMFM-88 nas dimensões A (deitar e rolar) e B (sentar), por concentrarem o repertório motor amplo da criança com GMFCS V; pelo GMFM-66, e pelo sistema de eletrogoniometria wifi (Biofeed®), com sensor localizado na cabeça (osso frontal), avaliando a oscilação no plano sagital, nos tempos de 30, 60 e 90 segundos. Pelo GMFM-88, obteve-se melhora de 17,65% na dimensão A, e de 1,67% na dimensão B com ganho de 9,66% na pontuação geral e de 1,11% na GMFM-66. Pela análise do Biofeed houve diferenças entre a avaliação inicial e final em todos os tempos analisados (30, 60 e 90 segundos), indicando que o protocolo terapêutico proporcionou ganhos no controle motor de cabeça. Os resultados evidenciaram uma melhora discreta no controle de cabeça na GMFM-88 e melhora pelo Biofeed®, o que a GMFM-66 não identificou.

Descargas

Los datos de descargas todavía no están disponibles.

Citas

ASSIS-MADEIRA, E. A.; DE CARVALHO, S. G. Paralisia cerebral e fatores de risco ao desenvolvimento motor: uma revisão teórica. Cadernos de Pós-Graduação em Distúrbios do Desenvolvimento, v. 9, n. 1, p. 142-163, 2009.

BJORNSON, K. F. et al. Ambulatory physical activity performance in youth with cerebral palsy and youth who are developing typically. Physical Therapy, v. 87, n. 3, p. 248-257, 2007. ISSN 0031-9023.

BRASILEIRO, I. D. C.; MOREIRA, T. M. M. Prevalência de alterações funcionais corpóreas em crianças com paralisia cerebral, Fortaleza, Ceará, 2006. Acta fisiátrica, v. 15, n. 1, p. 37-41, 2008. ISSN 0104-7795.

CASTILHO-WEINERT, L. V.; NEVES, E. B. Use of dynamic clothes in cerebral palsy rehabilitation: systematic review. ConScientiae Saúde, v. 15, n. 2, 2016. ISSN 1677-1028.

CORTÉS, A. et al. Effects of biofeedback shoulder abdution in elderly with parkinsonism: a case study. Revista Neurociências, v. 18, n. 2, p. 189-93, 2010.

CUNHA, A. B. et al. Relação entre alinhamento postural e desempenho motor em crianças com paralisia cerebral. Fisioterapia em Pesquisa, São Paulo, v. 16, n. 1, p. 22-27, 2009.

GARÇÃO, D. C. Influência da dançaterapia na mobilidade funcional de crianças com paralisia cerebral hemiparética espástica. Motricidade, v. 7, n. 3, p. 3-9, 2011. ISSN 1646-107X.

MÉLO, T. Escalas de avaliação do desenvolvimento e habilidades motoras: AIMS, PEDI, GMFM e GMFCS. Fisioterapia em Neurologia: Castilho-Weinert, LV

Forti-Bellani, CD 2011a.

MÉLO, T. R. Análise cinemática da marcha de crianças com diparesia espástica em plano inclinado. 2011b.

MÉLO, T. R.; GUIMARÃES, A. T. B.; ISRAEL, V. L. Spastic diparetic does not directly affect the capacity to ascend and descend access ramps: three-dimensional analysis. Fisioterapia em Movimento, v. 30, n. 3, p. 535-45, 2017. ISSN 0103-5150. Disponível em: < https://periodicos.pucpr.br/index.php/fisio/article/view/21970/21103 >. http://dx.doi.org/10.1590/1980-5918.030.003.AO12

MÉLO, T. R. et al. Intensive neuromotor therapy with suit improves motor gross function in cerebral palsy: a Brazilian study. Motricidade, v. 13, n. 4, p. 54-61, 2017. ISSN 2182-2972.

MÉLO, T. R. et al. Physical therapy: Intensive Neuromotor Therapy in gross motor skills of Brazilian children with cerebral palsy. Cape Town (South Africa): World Confederation for Physical Therapy- WCPT Congress 2017.

NEVES, E. B. et al. Benefícios da Terapia Neuromotora Intensiva (TNMI) para o Controle do Tronco de Crianças com Paralisia Cerebral. Rev Neurocienc, v. 21, p. 549-55, 2013.

NEVES, E. B. et al. O PediaSuit™ na reabilitação da diplegia espástica: um estudo de caso. Lecturas, Educación Física y Deportes–Buenos Aires, v. 166, n. 15, p. 1-9, 2012.

NOVAKOSKI, K. Intervenção fisioterapêutica no desenvolvimento de indivíduos com paralisia cerebral. . 2014. 66 (Monografia de graduação). Fisioterapia, Universidade Federal do Paraná, Matinhos.

PERES, L. W.; RUEDELL, A. M.; DIAMANTE, C. Influência do conceito neuroevolutivo bobath no tônus e força muscular e atividade funcionais estáticas e dinâmicas em pacientes diparéticos espásticos após paralisia cerebral. . Saúde (Santa Maria), v. 35, n. 1, p. 28-33, 2009. ISSN 2236-5834.

PINA, L. V. D.; LOUREIRO, A. P. C. O GMFM e sua aplicação na avaliação motora de crianças com paralisia cerebral. Fisioterapia em Movimento, v. 19, n. 2, p. 91-100, 2006.

REBEL, M. F. et al. Prognóstico motor e perspectivas atuais na paralisia cerebral. Revista brasileira de crescimento e desenvolvimento humano, v. 20, n. 2, p. 342-350, 2010. ISSN 0104-1282.

RUSSELL, D. et al. Medida da função motora grossa (GMFM-66 e GMFM-88) Manual do Usuário. São Paulo: Memmon, 2011. 215.

SCHEEREN, E. M. et al. Descrição do Protocolo PediaSuitTM. Fisioter. mov, v. 25, n. 3, p. 473-480, 2012. ISSN 0103-5150.

SPOSITO, M. M. D. M.; RIBERTO, M. Avaliação da funcionalidade da criança com Paralisia Cerebral espástica. Acta fisiátrica, v. 17, n. 2, 2010. ISSN 0104-7795.

Publicado

2019-07-30

Número

Sección

Artigos